吴燕俊 王玲 金园平
(镇江泛华检测科技有限公司,江苏镇江,212000)
摘要:本文分析了影响等离子发射光谱仪(ICP-OES)测定钛酸锂中锂含量的主要因素,建立数学模型并根据测试过程中的风险因素建立了因果图,给出了各分量不确定度的计算过程,钛酸锂样品中的锂含量检测结果是5.65%,计算出各分量的相对标准不确定度,其中urel(cLi)=0.013,urel(R)=0.012,这两项占了主要,合成标准不确定度uc=0.11%,置信区间为95%时,计算得到测试结果的扩展不确定度U=0.22%。同时,也可以看出标准曲线的准确性对合成标准不确定度的贡献很大,对锂元素含量的测试准确性有很大帮助;不确定度的合理利用,可以深入了解测试不确定度各分量的相对标准差。
关键词:ICP-OES,锂,不确定度
Discussion on the uncertainty of measurement in the ICP-OES determination of lithium in lithoum titanate
WU Yan-jun Wang Ling Jin Yuanping
(Zhenjiang fanhua Detection Technology Co., Ltd., Zhenjiang 212000, Jiangsu)
Abstract:The main factors, affecting the accuracy of the ICO-OES determination of lithium in lithium titanate were discussed, and the uncertainties of measurements caused by these factors in the determination were evaluated. Mathematical model and causality chart of variables of uncertainty produced in the process of analysis were established. Relative combined standard uncertainty of these factors were calculated, and the process is given. Among them, urel(cLi)is 0.013,urel(R)is 0.012. These two items account for the main part. An combined standard uncertainty of 0.11% was obtained in the determination of 5.65% of lithium titanate, and expanded uncertainty of 0.22% was obtained at 95% confidence level also. At the same time, it can be seen that the accuracy of the standard curve contributes to the combined standard uncertainty, which is also helpful to the accuracy of the lithium element content test. The reasonable use of uncertainty can help us to understand the RSD of each component of the uncertainty.
Keywords: ICP-OES; Lithium; Uncertainty of measuerment
检测实验室承担着对企业产品质量的把控的职责,检测过程可以看成对产品某一特性的赋值过程,CNAS实验室依据ISO17025标准对此过程进行不确定度的评定,以此作为评价实验室检测能力的手段;本文评估了钛酸锂中锂元素含量的不确定度,充分评估了不确定各个分量,实验数据运用最小二乘法拟合直线,并进行了不确定评定,本例同样适合各种微量元素的不确定评定。
1 实验部分
1.1 主要仪器与试剂
ICP-OES 5110
电子天平
加热板
锂标准溶液:1000ug/mL
浓硝酸
浓盐酸
蒸馏水(符合ISO标准)
1.2 实验方法描述
样品在105℃烘箱中干燥2h,称取0.10g±0.02g(精确到0.0001g)样品,加入9mL浓盐酸和3mL浓硫酸,置于加热板上,消解完全,过滤定容至100mL,用质量法继续稀释样品至锂含量在标准曲线范围以内。仪器测试条件参考GB/T30836-2014。
2 不确定影响因素的分析
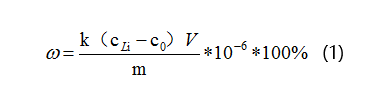
2.1 数学模型
w 一样品中锂元素的质量分数
K 一稀释倍数
m一样品质量
cLi一待测样品测得的锂离子浓度
c0一空白溶液中的锂离子浓度
V一待测样品定容体积
2.2 不确定度来源的分析
测量不确定来源于稀释倍数、样品的称量质量、空白溶液的锂离子含量、样品溶液中的锂离子含量、锂标准溶液、回收率、重复性,一共7个方面。将这7个分量绘制成因果图,见图1。
(1)稀释倍数的不确定度:测试过程中稀释有两部分,一是消解后定容至100mL容量瓶;二是质量法稀释,目的是使锂元素稀释至标准曲线的线性范围内。
(2)样品称量m的不确定度:样品在测试前,放置于105℃烘箱中干燥,放入干燥器中冷却后称量,水分基本被除去,不确定度只考虑天平称量的准确性。
(3)空白溶液的不确定度:锂元素是对人身体有益的一种微量元素,空白即水中的锂元素不会为0,所以单独计算空白溶液对测试过程的不确定度贡献。
(4)cLi的不确定度:u(cLi)的计算参考CNAS-GL06附录E3。
(5)锂标准溶液的不确定度:标准曲线由5个点线性拟合得到,u标来源于这5个点的准确性。
(6)回收率的不确定度:回收率的不确定度评定较为复杂,但又必不可少。标准中没有规定锂含量的回收率范围,本文没有依据公式 来计算,而是依据下式(2)计算。
(7)重复性的不确定度:这是对实验操作过程的整体误差的评价,包括消解的充分性,样品转移的完整性,测量结果的RSD值,仪器状态等等。
图1 ICP-OES测试锂元素含量的不确定度因果分析图
2.3 不确定度分项的计算
2.3.1 测试结果重复性的不确定度urel(rep)
在方法建立阶段,进行了方法确认。测试了Li元素含量,测试结果如下:
表1:标准物质中Li元素含量的测试结果
本次测试中,测试结果重复性引入的不确定度由6次测试结果平均值的标准差表示:
2.3.2 样品质量引入的不确定度urel(m)
2.3.3 由标准曲线求得的样品中锂元素含量的不确定度urel(CLi)
将1000ug/mL的锂元素标准溶液稀释成50ug/mL的储备液,储备液进一步稀释定容为0.5、1.0、2.0、5.0、10ug/mL的标准溶液,由ICP-OES测出锂元素含量并绘制出标准曲线,CLi的计算结果依据标准曲线的线性方程求得,CLi的误差也来源于标准曲线。锂元素含量的标准值和实际测得的数据见下表2,假设标准曲线方程为Aj=Cj*B1+B0,标准曲线的方程为Aj=1.0022Cj+0.022,R=0.99990,计算得到残余标准差S=0.093617。
表2:5ug/mL锂标准溶液的测试数据
样品溶液一共测试了3次,锂元素含量分别为5.77%、5.75%、5.76%,取平均值为样品中锂元素的含量CLi=5.76%,CLi的标准不确定度u(CLi)计算公式如下(3)(4),u(CLi)=0.077(ug/mL),urel(CLi)=0.013。
S一标准曲线的标准差;
b一标准曲线的斜率;
P一样品溶液的测试次数;
n一标准溶液的测定次数;
CLi一样品中锂元素的含量;
一标准曲线上各点锂元素含量的平均值;
Cj一标准溶液中锂元素的测定值
B0一标准曲线的截矩;
B1一标准曲线的斜率;
Aj一各标准溶液的锂元素含量
2.3.4 标准溶液自身的不确定度u标,rel
与样品最接近的标准溶液为5ug/mL,U标,rel的评定以此标准溶液为评定对象,5ug/mL的标准溶液由1000ug/mL的标准溶液逐级稀释得到。u标,rel按照公式(5)计算:
2.3.4.1 标准物质的不确定度urel(CCRM)
查标准物质证书知,U=0.7,u===0.35,因此urel(cCRM)=0.35/1000=0.00035。
2.3.4.2 稀释过程产生的不确定度u稀释,rel
稀释定容过程所使用的玻璃仪器准确度等级都为A级,u稀释,rel来自于溶液转移过程,u稀释,rel按式(6)计算:
(2)urel(V100mL):计算过程同2.3.4.2(1),合成得到urel(V100mL)=0.0010。
(3)urel(V5mL):计算过程同2.3.4.2(1),合成得到urel(V5.0mL)=0.0020。
将urel(V1.0mL)、urel(V100mL)、urel(V5mL)带入公式(5),可得u稀释,rel=0.0049。
将u稀释,rel、urel(CCRM)带入公式(4),可得u标,rel=0.0049。
2.3.5 待测样品溶液体积的不确定度urel(V)
样品溶液经过消解后,定容至100mL,吸取1.0g溶液到PE塑料瓶中,再以质量法稀释10倍后测试锂元素含量。所以
2.3.5.1 稀释定容的不确定度u稀释2,rel
稀释定容过程只涉及到100mL容量瓶引入的不确定度,计算结果参考本文2.3.4.2(2),即u稀释2,rel=0.0010。
2.3.5.2 质量法稀释的不确定度urel(m稀释)
2.3.6 样品空白的变动引入的不确定度u(C0)
样品空白中的锂元素含量进行了8组测试,标准差为0.010,直接用作标准不确定度,空白样中锂元素含量平均值为0.15ug/mL。
2.3.7 回收率引入的不确定度urel(R)
3. 合成标准不确定度的评定
样品中含有的锂元素的质量分数由公式(1)计算得:w=5.65%,因此uc(w)=w*0.019=0.11%
4. 扩展不确定度的评定
置信水平为95%时,包含因子k=2,则钛酸锂中锂含量的扩展不确定度U=kuc(w)=0.22%。
所以,钛酸锂中锂元素的含量为(5.65±0.22)%。
参考文献
[1] JJF1059-2012, 测量不确定度评定与表示[S].
[2] GB/T 30836-2014, 锂离子电池用钛酸锂及其炭复合负极材料[S].
[3] CNAS-GL06, 化学分析中不确定度的评估指南[S].
(0)



