
文/凌垄灏,汪扬
艾仕得华佳涂料(黄山)有限公司
摘要:阀门作为不可缺少的流体控制设备部件,其耐腐蚀性、高寿命性显得尤为重要。本文结合阀门使用环境和特点,从环氧树脂、固化剂、填料以及助剂的选择出发,设计出满足标准要求的阀门专用粉末涂料。
1、前言
阀门是石油、天然气、化工、电站长输管线、造船、核工业、化学工程、航天以及海洋石油等国民经济各部门不可缺少的流体控制设备部件。
所用阀门和管道配件的主要材料为铸铁,但铸铁不耐腐蚀。阀门大多安装在地面或地下,外表与潮湿的空气接触极易发生锈蚀,因此阀门主体材料必须进行腐蚀防护,以延长使用寿命。
单一材质不能满足使用要求,需要对其进行涂层涂覆,因此需要对铸铁阀门的涂层深入研究,以便为阀门提供恰当的防护。
近年来,随着科学技术的不断发展,国内阀门产品也在向高技术含量、高标准、耐强腐蚀、高寿命方向发展,这对阀门涂层提出了更高的要求。
按照ISO 12944-2的标准划分,大部分工业阀门的安装使用环境属于C3、C4、C5-I和C5-M环境。
C3环境指中等二氧化硫污染区或低盐的沿海地区,如食品加工厂、洗衣店、酿酒厂、奶制品生产厂的大气环境。
C4环境为工业区域和中等盐度的沿海地区,如化工厂、游泳池、沿海船舶和船厂的大气环境。C5-I环境是非常高工业化和高湿度地区,如高污染的建筑或工业区域。
CS一M环境是指沿海和近海地区高盐分的海边或海面上的大气环境。上述分析充分说明,阀门用粉末涂料主要是环氧防腐体系。
阀门的涂覆主要有静电枪喷涂和流化床浸涂两种方式,涂装前都需要将阀体进行表面缺陷处理、抛丸前处理、预热等工艺。涂装后,再进行吊具漏点修补。
2、实验部分
2.1 实验原材料
2.2 阀门粉末涂料的制备及施工
按照配方准确称取各成分原材料,放入混合机中高速混合,然后通过双螺杆挤出机挤出冷却,将冷却后的料片经咖啡磨粉碎后用120目筛网过筛得到成品粉末涂料。
待检测样板经喷砂处理后放入烘箱中预热,将粉末涂料用静电枪喷涂到预热的样板表面至规定膜厚(250~450μm),固化,冷却后待检测。
2.3 性能测试
在喷涂固化后的待检测样板上进行以下性能测试:
冲击:>5J,按照DIN 30677-2《External corrosion protection of buried valves)进行检测。
绝缘强度:≥3OkV/mm,按照DIN30677-2《External corrosion protection of buried valves》进行检测。
水煮附着力:>16MPa,按照《GSK认证粉末喷涂要求》进行检测。
3、结果与讨论
3.1 环氧树脂的选择
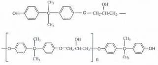
双酚A环氧树脂结构介绍:
环氧树脂的固化反应主要发生在环氧基上,由于环氧基受到醚键和苯环上大二键的影响,电子云分布发生较大偏移,产生偶极矩,造成环氧基上的氧原子存在较多的负电荷。
其末端的碳原子则留有较多的正电荷,因而亲电试剂和亲核试剂都以加成反应的方式使环氧基开环聚合,最后生成网状结构高聚物。
阀门在搬运、安装、使用过程中,难免受到机械损伤,所以要求粉末涂层与底材的附着力以及涂层的抗冲击性要非常好。
从双酚A环氧树脂的结构图可以看出,两末端的环氧基赋予其反应性,醚键赋予柔韧性和耐碱性介质性,经基赋予反应性和粘接性,双酚A骨架给予树脂极好的耐热性和强韧性。
尤其是环氧基能与多种材料的表面形成化学键,所以具有极好的附着力。
实验选择双酚A型环氧树脂A、B、C,具体指标及性能检测结果见表1,冲击结果见图1、图2,水煮结果见图3、图4。
从表1看出,使用环氧树脂A和环氧树脂B时,分子链太长,粘度太大,涂层与底材润湿性较差,水煮附着力不好;使用环氧树脂C时,分子量适中,涂层与底材附着力好,且能够满足冲击要求。
因此,双酚A型环氧树脂C具有柔韧性的长链结构,环氧当量850~950g/eq,软化点96~107℃,赋予粉末涂层良好的附着力和抗冲击性能。
3.2 固化剂的选择
环氧树脂本身是一种热塑性物质,需要在一定条件下与固化剂通过交联反应,才能形成立体网状结构的热固性产物。
从而显现出各种优良的应用性能,成为具有使用价值的环氧材料。因此固化剂在环氧树脂应用中必不可少,甚至发挥着决定性的作用。
酚类固化剂结构介绍:
酚类固化剂是用双酚A封闭的环氧树脂通过扩链工艺制得的。它与环氧树脂的固化机理较为复杂,它主要包含:酚经基与环氧基的醚化反应、仲羟基与环氧基的醚化反应、叔胺催化环氧的自聚反应和2-甲基咪唑使环氧的开环反应等。
此固化过程无小分子物产生,不会在涂膜出现针孔等缺陷。大量羟基的存在更促进了对基材的附着力。
而且二者具有相似的化学结构,有更好的互溶性,不会产生因固化收缩而导致的结构破坏,与环氧树脂一起给涂膜以更好的致密性、耐热性、耐溶剂性和耐腐蚀性。
同时固化剂本身是树脂态的,主链上的结构也可以需求发生改变,从而保证了涂膜的柔韧性。
实验选择环氧树脂C,酚类固化剂1、酚类固化剂2、酚类固化剂3,具体指标及性能检测结果见表2。
从表2看出,酚类固化剂2,羟基值0.56mol/100g,软化点84℃,与双酚A型环氧树脂有极好的混溶性,反应活性高,且通过饮用水卫生认证,能够满足包括饮用水阀门在内的各类阀门涂层的性能要求。
3.3 填料的选择
填料可提高涂层的机械强度和其它保护性能。
阀门粉末涂料用填料应具备以下性能:
(1)易分散,流动性好,不含异物杂质,无色或白色;
(2)不溶于水和有机溶剂,耐化学品性能好;
(3)不与配方中其它组分发生有害反应,不降低涂膜的物理机械性能;
(4)饮用水阀门涂料中应不含重金属等不满足卫生要求的成分。
碳酸钙CaCO3是无毒无气味的白色粉末,包括沉淀碳酸钙(轻质)和重质碳酸钙。硅灰石主要成分为硅酸钙(CaSiO3),具有湿胀性低,吸油量低,电性能好,无毒,水煮性能好等特点。
绢云母天然细粒白云母,属单斜晶体,呈鳞片状,具丝绢光泽。加入绢云母,能使涂膜增强坚韧性,耐火、耐水、耐化学腐蚀性强,能阻止紫外线和水分穿透,还能防止龟裂、延迟粉化,可增加涂料的耐久性和耐候性,是阀门涂料中常用的填料。
3.4 助剂的选择
阀门粉末涂料助剂包括流平剂、促进剂、边角覆盖剂、抗划伤剂、增硬剂、增韧剂、粉末疏松剂、脱气剂等,根据产品需求选择添加。部分客户要求阀门边缘满足冲击要求,这就需要在配方中加入助剂提高涂层的抗冲击性能。
实验选择环氧树脂C,酚类固化剂2,将不同添加量助剂与空白样做性能对比,具体性能检测见表3:
从表3看出,1%添加量的助剂能够提高涂层的抗冲击性能,满足阀门边缘处的抗冲击检测。冲击结果如图5、图6所示。
3.5 新型耐候型阀门粉末涂料的研发
环氧体系阀门粉防腐性能优越,能满足强腐蚀环境下阀门部件的应用需求。但部分阀门部件暴露在空气中,对耐候性能同样需求。
常用的环氧体系粉末涂料由于其原材料双酚A型环氧树脂苯环的不饱和性,耐候性能差。若阀门在户外使用,则必须在环氧涂层上再加一层耐候型涂料。但双层喷涂工艺复杂,能耗大,成本高。
现提供一种单层粉末涂料,同时满足耐候和防腐需求。其配方设计思路为,在耐候型粉末体系中加入防腐助剂,提高防腐性能。同时实现粉末涂料的防腐性能和耐候性能。性能对比如表4所示。
从表4可以看出,耐候型阀门粉除了具有环氧型阀门粉优异的耐冲击、水煮附着力和防腐性能外,还具有优异的耐候性能。
4、结语
(1)环氧树脂粉末涂层附着力强,抗冲击性能好,耐腐蚀性高,能够满足阀门的使用要求。
(2)双酚A型环氧树脂能够给予涂层良好的柔韧性,但考虑到涂层的耐水煮附着力性能,提高涂层与底材的润湿性,所选择的双酚A型环氧分子链段不宜太长。
(3)不同的酚类固化剂结构不同,对粉末涂层固化温度、涂层机械性能和附着力影响很大。配方设计时要评估所选固化剂的综合性能是否满足阀门粉末涂料的要求。
(4)对于抗冲击性能要求高的阀门粉末涂料,助剂的选择尤为重要。它能够较好地解决阀门粉末涂层的抗冲击性能,可适应各类应用场合中难以避免的磕碰。
(5)耐候型阀门粉末涂料同时具有优异的耐冲击性能、水煮附着力、防腐性能和优异的耐候性能。
(0)



