
杨永吉, 赖尹婷, 吕忠韩, 蔡尚桦, 谢杰修,简智娴, 黄耀兴
单位:台湾永光化学工业股份有限公司
珠光涂料是以天然云母为基材,包覆一层TiO2或其他折射率较高的金属氧化物,当光线入射时产生多次折射,反射,吸收,穿透和干涉后,会产生珠光般绚丽的色彩,图一是涂料系统中可见光与不同类型颜料中粒径光学相互作用呈现的效果[1],针对珠光白面漆橘皮外观质量的改善方面,有研究指出[2]利用在调整橘皮外观的过程中,除了参考长、短波和DOI 的资料外,还可引入B 值及Wa、Wb、Wc、Wd、We。一般B 值越接近0,面漆的目视效果越好。B 值在±5 之间,且Wd值在20以下,是最佳的目视区域。珠光漆并不是单独一层涂层构造,目前业界双涂层珠光漆的定义指其包含珠光漆层和清漆层两层。三涂层珠光漆是三层结构:底色漆层、珠光漆层和清漆层。有研究指出[3]高温条件下,现生产双涂层珠光漆慢干助剂加入量一般为4.0%,可以保证车身漆膜质量,满足生产要求;三涂层珠光漆调试过程中,由于对底色漆层和珠光漆层之间存在相互作用考虑不足,导致慢干助剂加入过量,影响整车色差。因此,需要调试人员逐渐积累现场调试经验,掌握三涂层珠光漆色差等漆膜性能的影响因素,才能及时准确地做出判断,有效控制其色差。另有研究显示[4],水性聚氨酯金属闪光底色漆在公交车上已经得到大量的应用,这是因为相对于溶剂型金属闪光底色漆而言,水性聚氨酯底色漆可以湿喷,不易产生发花和花斑,遮盖力好,易修补;另外,水性聚氨酯底色漆气味小,又环保,减少了60% 的VOC(挥发性有机化合物)排放,所以水性聚氨酯金属闪光底色漆的应用范围会越来越广。珠光涂料虽然深受消费者喜爱,但缺点是珠光底涂涂装罩光清漆后,耐旋光性和耐热性较一般涂装于实色漆差。针对耐候提升保护,目前工业界常用的方式是添加紫外线吸收剂(UVA)和受阻胺光稳定剂(HALS) [5]-[9], 永光化学开发出 Eversorb® AQ 水性光稳定剂系列[10]-[16],保护高分子材料暴露在自然太阳光时,减缓涂层褪色劣化与粉化现象。
图1 涂料系统中可见光与不同类型颜料中粒径光学相互作用的应用效果
水性珠光底涂层上的水性罩光清漆是否因太阳光受到珠光层多次折射,反射,吸收,穿透和干涉而加速严重破坏?这方面目前研究较少,又或是因热传导,对流和辐射下加速热老化黄变?本次研究先将喷涂于玻璃和珠光底漆上水性罩光清漆进行耐候与耐热测试,了解水性罩光清漆是否因珠光底漆加速黄变破坏?接着将利用实验设计 (DOE)探讨永光针对水性珠光涂层上水性罩光清漆新开发产品NHS(New High Performance Stabilizer)与不同类型的耐 UV剂:紫外线吸收剂(UVA),受阻胺光稳定剂(HALS)和抗氧化剂(AO)共四种添加于水性罩光清漆中涂装于珠光涂料后进行耐UV和耐热测试, 最后探讨NHS在不同添加浓度、不同涂膜厚度下进行耐候耐热测试,期盼对大众喜爱的珠光涂层上的罩光清漆耐候耐热有效提升且使用周期延长,减少二次施工所造成环境污染,能源耗损和原料耗材浪费。
1 实验
1.1 原料实验
水性珠光涂料,工业级,台湾奕美涂料。水性聚氨酯树酯,工业级,台湾立大股份有限公司。NHS(New High Performance Stabilizer)新型耐UV/耐热剂,工业级,台湾永光化学工业股份有限公司。
表 1 实验选用稳定剂
1.2 实验设备
耐黄变试验机:厂牌Q Panel/型号:QUV/Basic。色差仪:厂牌MINOLTA/型号:CM-3500d。热风烘箱: 厂牌:DENG YNG/型号:型号DO45。
1.3 实验方法
罩光清漆喷涂于玻璃喷涂水性白色底漆烘干后再喷涂水性珠光涂料60°C烘干5-8 min。秤取不同类性稳定剂,再混合水性罩光清漆搅拌30min后喷涂于水性珠光涂料试片上。
1.4 检验方法
1.4.1 热烘试验
试片放置烘箱设定120°C 90h
1.4.2 人工加速老化试验:
ASTM G154-2 313nm全光照,0.71 W/m2,利用色差仪观察加速老化试验过程变化。
1.4.3 色差测试:
色差仪:厂牌MINOLTA/型号:CM-3500d
1.4.4软件名称与分析:
使用软件:JMP分析使用内建分析工具
2 结果与讨论
2.1 水性罩光清漆于玻璃和珠光底漆耐候测试实际试片比较
2.1.1水性罩光清漆于玻璃和珠光底漆耐候测试实际试片比较
将水性罩光清漆喷涂于玻璃和珠光底漆上经耐候313 nm 300 h测试结果如图2显示,喷涂于玻璃上水性罩光清漆黄变值ΔY=5.45,而同样水性罩光清漆喷涂于珠光底漆上,黄变值大幅上升至14.7 (ΔY=19.2-4.5),显示珠光底漆对于水性罩光清漆可能因紫外光反射,折射和干涉下造成严重破坏。
图2 水性罩光清漆于玻璃和珠光底漆耐候实际试片
2.1.2水性罩光清漆于玻璃和珠光底漆上耐热测试实际试片比较
将水性罩光清漆喷涂于玻璃和珠光底漆上经耐热120°C 90 h测试结果如图3显示,喷涂于玻璃上水性罩光清漆黄变值ΔY=2.42,而同样水性罩光清漆喷涂于珠光底漆上,黄变值大幅上升至20.2 (ΔY=22.5-2.3),显示珠光底漆对于水性罩光清漆可能因热传导,对流汗辐射下造成严重破坏。
图3 水性罩光清漆于玻璃和珠光底漆耐热实际试片
2.2不同类型的稳定剂于水性罩光清漆对珠光漆耐候和耐热实验设计研究
本实验是利用实验设计DOE, (Design of experiment)) 来设计测试参数并分析其结果,且更重要是利用其中的"筛选设计(Screening Design) "找出不同类型的稳定剂: 光稳定剂(UVA)新型复合耐UV,耐热剂(NHS),抗氧化剂(AO)和光稳定剂(HALS)
于水性罩光清漆对珠光涂层耐候和耐热保护的影响。实验计划如表2所示,从表2的实验数据分析结果如表3参数估计表和表 4 变异数分析(ANOVA)表如下所示:
表2实验设计探讨结果
表3参数估计表
表4 变异数分析(ANOVA)表
2.2.1不同类型的稳定剂于罩光清漆对珠光漆耐候实验影响度分析研究
经313nm 耐候300h结果显示,新型耐UV/耐热剂(NHS)对于减缓罩光清漆对珠光漆耐候影响度高为70.1%,而一般光稳定剂(UVA) 影响度为17.4%,光稳定剂(HALS) 影响度为0.11%,抗氧化剂(AO)影响度为0.08%,如表5所示,表示对于减缓罩光清漆对珠光漆耐候影响度而言,添加新型耐热剂(NHS)显著有效。
表5 不同类型稳定剂于罩光清漆对珠光漆耐候影响度分析
2.2.2 不同类型的稳定剂对罩光清漆对珠光漆耐候主效应分析研究
主效应分析如图4所示,横坐标分别为光稳定剂(UVA) (%),光稳定剂(HALS) (%),新型耐UV/耐热剂(NHS) (%)和抗氧化剂(AO) (%),表示添加0~1%的剂量于罩光清漆,纵轴表示313nm 耐候300h,黄变值(ΔY)变化值,值越小,代表罩光清漆对珠光漆耐候效果佳,值愈大,代表耐候效果差,而由图型斜率可以看到新型耐UV/耐热剂(NHS)最大,代表改善效果好,其它斜率较平缓,改善效果不明显。
图4不同浓度光稳定剂(UVA),新型耐热剂(NHS),抗氧化剂(AO)和光稳定剂(HALS) 罩光清漆对珠光漆耐候色差变化比较(主效应图)
由图4主效应图试验结果可以发现,当添加不同剂量新型耐UV/耐热剂(NHS) (%)于罩光清漆中,可以得到较大的斜率,表示可以有效的改善罩光清漆对珠光漆耐候效果。一般光稳定剂(UVA)有效果但相较NHS还是无法相比,抗氧化剂(AO)和光稳定剂(HALS),对改善罩光清漆对珠光漆效果不明显。
2.2.3 实验设计添加1%新型耐UV/耐热剂(NHS)耐候实际试片
图5为罩光清漆于珠光漆涂装耐候照片,可以观察到,经313nm 耐候300h后,空白组已严重变色,添加1% NHS可以显著有效提升罩光清漆对珠光漆耐候。
图5罩光清漆于珠光漆涂装耐候实际试片
2.2.4不同类型的稳定剂于罩光清漆对珠光漆耐热实验影响度分析研究
经热烘120°C90h结果显示,新型耐UV/耐热剂(NHS)对于减缓罩光清漆对珠光漆受热褪色影响度高为97.1%,而一般光稳定剂(UVA) 影响度为0.04%,光稳定剂(HALS) 影响度为0.2%,抗氧化剂(AO)影响度为17.6%,如表6所示,表示对于减缓罩光清漆对珠光漆受热褪色影响度而言,添加新型耐UV/耐热剂(NHS)显著有效。
表6 不同类型稳定剂于罩光清漆对珠光漆耐热影响度分析
2.2.5 不同类型的稳定剂于罩光清漆对珠光漆耐热褪色主效应分析研究
主效应分析如图6所示,横坐标分别为光稳定剂(UVA) (%),光稳定剂(HALS) (%),新型耐UV/耐热剂(NHS) (%)和抗氧化剂(AO) (%),表示添加0~1%的剂量于罩光清漆,纵轴表示120°C90h,黄变值(ΔY)变化值,值越小,代表罩光清漆对珠光漆耐热保护效果佳,值愈大,代表耐热保护效果差,而由图型斜率可以看到新型耐UV/耐热剂(NHS)最大,代表改善效果好,其它斜率较平缓,改善效果不明显。
图 6不同浓度光稳定剂(UVA),新型耐热剂(NHS),抗氧化剂(AO)和光稳定剂(HALS) 罩光清漆对珠光漆耐热色差变化比较(主效应图)
2.2.6 实验设计添加1%新型耐UV/耐热剂(NHS)耐热实际试片
图7为罩光清漆于珠光漆涂装耐候照片,可以观察到,经100°C烘烤5h后,空白组已严重变色,添加1% NHS可以显著有效提升罩光清漆对珠光漆耐候。
图7 罩光清漆于珠光漆涂装热烘实际试片
2.3 耐候实验设计DOE, (Design of experiment) 来设计测试参数并分析其结果
新型耐UV/耐热剂(NHS)添加于水性罩光清漆对珠光涂层保护,在不同浓度和不同膜厚下进行耐候与耐热探讨研究,实验计划如表6所示:分析数据,结果如表7参数估计表和表8 变异数分析(ANOVA)表:
表 7 最适化实验探讨结果
表 8 参数估计表
2.3.1 新型耐UV/耐热剂(NHS)于水性罩光清漆与不同膜厚(DFT)对提升珠光漆耐候影响度分析研究
经313 nm耐候300 h结果显示,新型耐UV/耐热剂(NHS)对于提升珠光漆耐候影响度高为98%,而膜厚影响度只有0.67%,如表9所示,表示对于提升珠光漆耐候而言,添加新型耐UV/耐热剂(NHS)较改变膜厚显著有效,可由方程式(一) 改变调整新型耐UV/耐热剂(NHS)的浓度可以得到减缓珠光漆耐候褪色黄变值。
表 9 变异数分析 (ANOVA) 表
表 10 新型耐 UV/ 耐热剂 (NHS) 于水性罩光清漆与不同膜厚对提升珠光漆耐候影响度分析
2.3.2 新型耐UV/耐热剂(NHS)于水性罩光清漆与不同膜厚(DFT)对提升珠光漆耐候主效应分析研究
主效应分析如图8所示,横坐标分别为新型耐UV/耐热剂(NHS) (%) 和膜厚DFT(μm),E NHS (%) 表示添加0~3%的剂量于水性丙烯酸涂料,膜厚表示水性丙烯酸涂料的膜厚10 ~50μm,纵轴表示313nm耐候300 h黄变值(ΔY)变化值,值越小,代表水性罩光清漆于珠光漆提升耐候效果佳,值愈大,代表耐候改善效果差。
图 8 不同浓度新型耐 UV/ 耐热剂 (NHS) 于水性罩光清漆与不同膜厚对提升珠光漆耐候比较 ( 主效应图 )
由图8主效应图试验结果可以发现,当涂装添加不同剂量新型耐UV/耐热剂(NHS) (%)于水性丙烯酸涂料中,可以得到较大的斜率,表示可以有效的改善黄变。不同膜厚大小呈现平缓斜率,表示无法提供有效的改善。
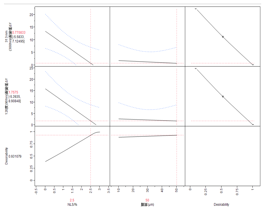
2.3.3 反应曲面(Response Surface Methodology) (RSM)探讨新型耐UV/耐热剂(NHS)与膜厚耐候影响分析
利用数据表6为进一步利用反应曲面图9呈现表示,X横坐标分别为新型耐UV/耐热剂(NHS),Z横座为膜厚(μm),Y横座表示水性珠光漆耐候(ΔY)黄变变化,红色区域可以得到降低水性珠光漆耐候最佳解。
图 9 反应曲面图 (NHS vs. DFT vs. ΔY)
2.3.4 新型耐UV/耐热剂(NHS)于水性罩光清漆与不同膜厚(DFT)对提升珠光漆耐热影响度分析研究
经120°C耐候90 h结果显示,新型耐UV/耐热剂(NHS)对于提升珠光漆耐热影响度高为98%,而膜厚影响度只有0.58%,如表10所示,表示对于提升珠光漆耐热而言,添加新型耐UV/耐热剂(NHS)较改变膜厚显著有效,可由方程式(二) 改变调整新型耐UV/耐热剂(NHS)的浓度可以得到减缓珠光漆耐热褪色色差值。
表 11 新型耐 UV/ 耐热剂 (NHS) 于水性罩光清漆与不同膜厚对提升珠光漆耐候影响度分析
2.3.5 新型耐UV/耐热剂(NHS)于水性罩光清漆与不同膜厚(DFT)对提升珠光漆耐热主效应分析研究
主效应分析如图10所示,横坐标分别为新型耐UV/耐热剂(NHS) (%) 和膜厚DFT(μm), NHS (%) 表示添加0~3%的剂量于水性丙烯酸涂料,膜厚表示水性丙烯酸涂料的膜厚10 ~50μm,纵轴表示120°C耐候90h黄变值(ΔY)变化值,值越小,代表水性罩光清漆于珠光漆提升耐候效果佳,值愈大,代表耐候改善效果差
图 10 不同浓度新型耐 UV/ 耐热剂 (NHS) 于水性罩光清漆与不同膜厚对提升珠光漆耐热比较 ( 主效应图 )
由图10主效应图试验结果可以发现,当涂装添加不同剂量新型耐UV/耐热剂(NHS) (%)于水性丙烯酸涂料中,可以得到较大的斜率,表示可以有效的改善黄变。不同膜厚大小呈现平缓斜率,表示无法提供有效的改善。
2.3.6 反应曲面(Response Surface Methodology) (RSM)探讨新型耐UV/耐热剂(NHS)与膜厚耐热影响分析利用数据表6为进一步利用反应曲面图11呈现表示,X横坐标分别为E新型耐UV/耐热剂(NHS) (%),Z横座为膜厚(μm),Y横座表示水性珠光漆耐热(ΔY)黄变变化,红色区域可以得到降低水性珠光漆耐热最佳解。
图 11 反应曲面图 (NHS vs. DFT vs. ΔE)
3 结论
(1) 将水性罩光清漆喷涂于玻璃和珠光底漆上经耐候313 nm 300h测试结果显示,喷涂于玻璃上水性罩光清漆黄变值ΔY=5.45,而同样水性罩光清漆喷涂于珠光底漆上,黄变值大幅上升至14.7 (ΔY=19.2-4.5),显示珠光底漆对于水性罩光清漆可能因紫外光反射,折射和干涉下造成严重破坏。
(2) 将水性罩光清漆喷涂于玻璃和珠光底漆上经耐热120°C 90 h测试结果显示,喷涂于玻璃上水性罩光清漆黄变值ΔY=2.42,而同样水性罩光清漆喷涂于珠光底漆上,黄变值大幅上升至20.2 (ΔY=22.5-2.3),显示珠光底漆对于水性罩光清漆可能因热传导,对流和辐射下造成严重破坏
(3) 经313nm 耐候300h结果显示,新型耐UV/耐热剂(NHS)对于减缓罩光清漆对珠光漆耐候影响度高为70.1%,而一般光稳定剂(UVA) 影响度为17.4%,光稳定剂(HALS) 影响度为0.11%,抗氧化剂(AO)影响度为0.08%,表示对于减缓罩光清漆对珠光漆耐候影响度而言,添加新型耐热剂(NHS)显著有效
(4) 经热烘120°C90h结果显示,新型耐UV/耐热剂(NHS)对于减缓罩光清漆对珠光漆受热褪色影响度高为97.1%,而一般光稳定剂(UVA) 影响度为0.04%,光稳定剂(HALS) 影响度为0.2%,抗氧化剂(AO)影响度为17.6%,表示对于减缓罩光清漆对珠光漆受热褪色影响度而言,添加新型耐UV/耐热剂(NHS)显著有效。
(5) 经313 nm耐候300 h结果显示,新型耐UV/耐热剂(NHS)对于提升珠光漆耐候影响度高为98%,而膜厚影响度只有0.67%,表示对于提升珠光漆耐候而言,添加不同浓度新型耐UV/耐热剂(NHS)较改变膜厚显著有效,
(6) 可由方程式(一) △Y(罩光清漆于珠光漆耐候减缓变色黄变值) =
10.8-7.98×[NHS%]-0.04[DFT] ± 0.028
求得最佳耐候黄变值
(7) 经120°C耐候90 h结果显示,新型耐UV/耐热剂(NHS)对于提升珠光漆耐热影响度高为98%,而膜厚影响度只有0.58%,表示对于提升珠光漆耐热而言,添加不同浓度新型耐UV/耐热剂(NHS)较改变膜厚显著有效
(8) 可由方程式(二) △Y(罩光清漆于珠光漆热烘减缓变色黄变值) =
12.9-9×[NHS%]-0.05[DFT] ± 0.03
求得最佳耐热黄变值
(9) 可由反应曲面(Response Surface Methodology) (RSM)探讨新型耐UV/耐热剂(NHS)与膜厚耐候影响分析,红色区域可以得到降低水性珠光漆耐候与耐热最佳解。
参考文献
[1]Gerhard Pfaff. The world of inorganic pigments [J]., ChemTexts, 2022 8:15
[2]孙颖,华俊,张灿生,张正兵. 珠光白面漆橘皮外观质量的改善[J]. 现代涂料与涂装, 2021, (2): 28-30
[3]杨学岩,单国华. 三涂层珠光漆的工艺调试及色差控制[J]. 现代涂料与涂装, 2015, (1): 1-4
[4]邱学科,朱德勇. 水性聚氨酯金属闪光漆在大型交通工具中的应用研究[J]. 上海涂料, 2014,52(8): 4-7
[5] 杨永吉, 黄世承, 简智娴, 黄耀兴. 高性能水性复配型光稳定剂应用于南方松表面处理[J]. 涂料工业, 2021, 41(9): 5-9
[6] 杨永吉, 黄世承, 宋宇书, 邱晓芳, 黄耀兴. 新型光稳定剂应用于水性环氧涂料的研究[J]. 涂料工业, 2012,42(8): 43-46
[7] YUNG-CHI YANG, LAI MING-HUA, SUNG YU-SHU, LAI YIN-TING, CHIOU SHIAN-FANG, CHEIN CHIN-HSIEN, YAO-HSING HUANG. Novel light stabilizers for waterborne alkyd coatings [J]. Polymers Paint Colour Journal, 2014, 204(4569): 20-24
[8] YANG YUNG-CHI, SUNG YU-SHU, CHEIN CHIN-HSIEN, HUANG YAO-HSING. Light stabilizers for environmental friendly coatings [J]. Polymers Paint Colour Journal, 2012, 202(4571): 16-18
[9] YANG YUNG-CHI, STEVEN LEE, HUANG YAO-HSING. Light stabilizers make the UV protection of environmental friendly coatings easier [J]. Coatings World, 2012, 17(4): 83-85
[10] 杨永吉, 赖尹婷, 赖明华, 宋宇书, 吕忠韩, 邱晓芳, 简智娴, 黄耀兴. 高性能复配型光稳定剂应用于水性木器涂料与木质素耐候保护的最新研究[C].第14届水性技术年会论文集 2016, 56-62
[11] 杨永吉, 赖尹婷, 赖明华, 宋宇书, 吕忠韩, 邱晓芳, 简智娴, 黄耀兴. 新型光稳定剂应用于水性光固化涂料UV 阻隔最新的技术研究[C].第15届水性技术年会论文集 2017, 196-201
[12] 简智娴, 杨永吉, 王敏莉, 赖尹婷, 邱晓芳, 黄耀兴. 不同类型水性光稳定剂安定性的研究[C] 第15届水性技术年会论文集 2017, 202-204
[13] 杨永吉, 赖尹婷, 吕忠韩, 谢杰修, 蔡尚桦, 简智娴, 黄耀兴. 高性能复配型水性光稳定剂应用于木材染料和科技木耐候保护的最新研究[C].第18届水性技术年会论文集 2020, 135-143
[14] Yung-Chi Yang,Pei-Yun Lee andDr. Yao-HsingHuang, Novel Light Stabilizer Enhances the UV-Filtering Ability of Waterborne UV-Curable Coatings without Sacrifice on Curing Speed[J]. 2020, 6(3): 48-56
[15] 杨永吉, 李佩芸, 赖尹婷, 谢杰修, 吕忠韩, 蔡尚桦, 简智娴, 黄耀兴. 新型复配水性UV/ 红外线阻隔剂应用于透明隔热耐黄变涂料的最新研究[C].第19届水性技术年会论文集 2021, 223-231
[16] 杨永吉,赖尹婷, 谢杰修, 吕忠韩, 蔡尚桦, 简智娴, 黄耀兴. 新型复配水性抗蓝光/ 抗UV 吸收剂的最新技术研究[C].第20届水性技术年会论文集 2022, 205-210
来源:第21届水性技术年会暨水性技术展论文集
(0)



