广州慧正智联科技有限公司

企业已认证
墙面漆
工业涂料
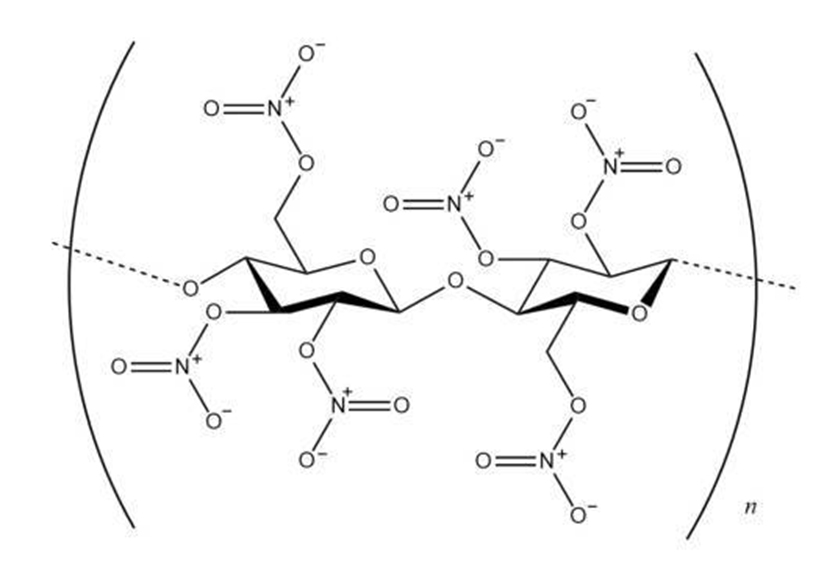
硝化棉是白色或微黄色棉絮状的硝酸酯类。
研究课题:成膜物质
一、硝化棉与硝基漆
硝化棉(Nitrocellulose),别名硝化纤维素,是纤维素与硝酸酯化反应的产物,化学式为(C6H7N3O11)n,是白色或微黄色棉絮状的硝酸酯类。不溶于水,能溶于酯、丙酮等有机溶剂,具有高度可燃性和爆炸性。其危险程度根据硝化程度而定,当其含氮量在12.5%以上时遇火即燃,温度超过40℃时,能加速分解而自燃。被列入《易制爆危险化学品名录》,并按照《易制爆危险化学品治安管理办法》管控。
硝化棉是硝基漆的主要成膜物质,与树脂、溶剂、助剂等混合调制而成,硝基漆属于挥发性涂料。在工业上往往以硝化棉含氮量(质量分数)来表示涂料的硝化程度,以10.5%~12.2%为宜,其中以11.2%~12.2%最常用。含氮量低于10.5%的硝化棉溶解性能差,而高于12.2%的硝化棉则易分解爆炸,耐光性、耐热性差,易老化,不宜配制硝基漆。硝基漆不宜刷涂,通常只能喷涂,故又称“喷漆”。

二、相关标准
WJ 9028-2005《涂料用硝化棉规范》
该标准于2005年4月11日发布,于2005年7月1日实施,对涂料用硝化棉的外观质量、含氮量、黏度规格、理化性能、检测项目与方法等做了要求。
▼WJ 9028-2005中规定的涂料用硝化棉含氮量范围

▼WJ 9028-2005中规定的涂料用硝化棉黏度规格

▼WJ 9028-2005中规定的涂料用硝化棉理化性能指标


三、硝基漆的应用与配方选择
硝基漆兼具耐候性、树脂兼容性和快干性,广泛用于交通车辆、航空飞机、机械制造、轻工产品、电器仪表、皮革制品、木材、纸张、木器家具等的涂装。但涂膜性脆、附着力差,因而需加入混溶性好的树脂及增塑剂,以改进涂膜的柔韧性、附着力及耐候性、耐水性等。
硝基漆常用的改性树脂有天然树脂、松香树脂、醇酸树脂、三聚氰胺甲醛树脂、丙烯酸树脂等。
硝基漆为非转化型涂料,故选择恰当的溶剂很重要,各种溶剂对树脂的溶解力及自身的挥发率不同,对制漆及漆膜性能都有较大影响。所用的溶剂,属溶剂型的有酯类如醋酸丁酯、醋酸戊酯等;属助溶剂有醇类,如乙醇、丁醇等;稀释剂有苯类,如纯苯、甲苯、二甲苯等。

四、硝基漆的特点
1. 优点
(1)色浅,可以制成透明度好的漆液。
(2)干燥快,适合喷涂,溶剂释放完全。
(3)涂膜平整、坚硬,干后有足够的机械强度,可打磨抛光。
2. 缺点
(1)固体含量低,干后涂膜薄,需多道涂覆。
(2)涂膜易发白,潮湿条件下施工尤其明显,耐水性不强。
(3)附着力差,耐化学药品性不好,不耐久,只适合一般气候环境。
(4)溶剂含量高,施工污染环境。

五、硝化棉、硝基漆的发展趋势
为改善硝基漆的成膜性能、涂膜物理机械性能等,需使用大量醇酸树脂(主要是不干性油醇酸树脂)改性,其主要组分为植物油(多用不能食用的蓖麻油,我国产量大)或其脂肪酸;而作为硝化棉主要原料的纤维素,来自棉花及其下脚料、木纤维素等。这些均是可再生资源,符合物料循环利用与节能减排的要求,是当前鼓励的方向之一。
硝基漆作为高溶剂涂料,也受到了当前政策的重点关注。降低VOC、减少有毒有害溶剂,从而在生产与使用中降低环境污染与健康风险,也是硝基漆的重点发展趋势。
除了用于硝基漆成膜,硝化棉还可用于改善其他材料(如丙烯酸、乙烯类、环氧、聚酯等树脂涂料)的干性、流平性、外观和施工性能。提高醇酸树脂固体分、降低硝化棉黏度,从而提高硝基涂料固体分含量,也是硝基漆今后的研究方向。

(0)