周 燊,李子骞,姚 淼* ,聂 俊,何 勇*
(北京化工大学材料科学与工程学院,北京100029)
摘要:为了提高紫外光固化材料对柔性电子器件的适用性,以具有独特长碳链结构的端羟基聚丁二烯(HTPB)作为二醇,与2种不同结构的二异氰酸酯(甲苯二异氰酸酯、六亚甲基二异氰酸酯)及丙烯酸羟乙酯合成了6种聚丁二烯基聚氨酯丙烯酸酯(PUA)。探究了HTPB的相对分子质量和二异氰酸酯的类型对PUA力学性能和光聚合动力学的影响。结果表明:由最高相对分子质量的端羟基聚丁二烯与甲苯二异氰酸酯及丙烯酸羟乙酯合成的芳香族聚氨酯丙烯酸酯表现出更高的韧性和拉伸强度。此外,与具有类似结构的商用芳香族高柔韧性聚氨酯丙烯酸酯相比,力学性能、光固化效率、耐高低温性能、疏水性以及表观性能等都更为优异,在柔性电子器件用光固化涂层材料领域具有广阔的应用前景。
关键词:柔性电子;光固化;聚氨酯丙烯酸酯;端羟基聚丁二烯
引言
近年来,柔性电子技术得到了蓬勃发展,并衍生了一系列柔性电子器件,如折叠显示屏[1]、可拉伸电容[2]、电子皮肤[3]等,这类器件具有一定的形变能力,能够适应各种复杂的工作环境,满足人们可弯折、可折叠的使用需求,因此具有广阔的研究前景和应用价值。柔性电子材料作为柔性电子技术中重要的一环,对电子器件的使用性能具有重要影响,成为人们研究的重点。
光固化柔性涂层具有性能可调控、固化速度快、固化不受环境温度和湿度影响等优点,近些年被逐渐应用于柔性电子器件领域。在光固化树脂中,聚氨酯丙烯酸酯是最为多彩和重要的结构类型,研究者们也对其柔韧性进行了大量的研究工作。Kang等[4]在光固化聚氨酯丙烯酸酯柔性基底上沉积了一层20 nm厚的薄膜,并通过拉伸的方式制备了类似蜘蛛足的微裂纹结构,使得整体传感器件在拉伸强度0~2% 时,传感系数超过 2 000,表明其在柔性传感器件中具有应用潜力。Meng 等[5]将端羟基聚二甲基硅氧烷与三胺改性的聚氨酯丙烯酸酯进行共聚,得到了具有优异柔韧性、耐水性的光固化薄膜,能作为柔性基底材料参与柔性电子器件的制作。Seok等[6]利用端羟基聚硅氧烷和丙烯酸异氰酸酯反应,合成了一种新型聚氨酯硅烷丙烯酸酯,其优异的柔韧性、剥离强度和透光率,表明其在柔性显示器中具有应用潜力。但是这些体系所涉及的聚氨酯丙烯酸酯都是目前常规的聚醚或聚酯多元醇的主链类型,其柔韧性调节范围有限,而且多注重于具体应用,对光固化涂层自身柔韧性的研究报道较少,特别是缺乏从低聚物结构上来研究光固化体系的柔韧性。Qin等[7]以饱和醇、异佛尔酮二异氰酸酯、丙烯酸羟乙酯和聚己内酯三醇为原料,合成了饱和醇改性的聚氨酯丙烯酸酯,研究发现随饱和醇碳链增长,光固化薄膜硬度降低,柔韧性提高。Xiong 等[8]采用开环聚合的方法制备了特定相对分子质量的聚己内酯二醇,然后和异佛尔酮二异氰酸酯、丙烯酸羟乙酯反应合成了聚己内酯主链结构的聚氨酯丙烯酸酯,得到的光固化涂层具有较好的柔韧性(1. 5 mm)和较好的耐磨性、附着力以及热稳定性。由此,研究者设想具有柔性长碳链结构的聚丁二烯可以提高体系的柔韧性,因为聚丁二烯主体结构为全碳链,变形能力强,且没有含氧官能团的存在,因此具有高柔性和高稳定性。Sekkar等[9]以端羟基聚丁二烯和不同结构的异氰酸酯为原料,Cao等[10]以端羟基聚丁二烯、二苯基甲烷二异氰酸酯、1,4 丁二醇为原料,都合成了具有优异力学性能的聚丁二烯基聚氨酯。
基于以上研究背景,本研究将聚丁二烯结构引入聚氨酯丙烯酸酯中,以端羟基聚丁二烯与甲苯二异氰酸酯、六亚甲基二异氰酸酯及丙烯酸羟乙酯为原料制备不同结构的聚丁二烯基聚氨酯丙烯酸酯,研究其结构与性能之间的关系,进而与不同活性稀释剂组成光固化配方,研究其具体应用性能,并与商用聚氨酯丙烯酸酯树脂进行对比,希望能够通过本工作进一步推动柔性光固化材料的发展。
1实验部分
1.1实验原料及仪器
端羟基聚丁二烯(HTPB):工业级,北京华威锐科化工有限公司,基本信息如表1所示。
商用芳香族聚氨酯丙烯酸酯(1862):工业级,市售;丙烯酸羟乙酯(HEA):试剂级,上海泰坦科技股份有限公司;二月桂酸二丁基锡(DBTDL):试剂级,北京迈瑞达科技有限公司;甲苯二异氰酸酯(TDI)、六亚甲基二异氰酸酯(HDI):分析纯,万华化学集团股份有限公司;对羟基苯甲醚(MEHQ):分析纯,上海阿拉丁生化科技股份有限公司;2-羟基-2甲基-1-苯基 -1-丙酮(1173):工业级,常州强力电子新材料有限公司;乙酸乙酯(EA):分析纯,天津富宇精细化工有限公司。
LED 光源:UVEC-4 II,深圳兰普里克公司;傅立叶变换红外光谱仪:Nicolet-5700,赛默飞;核磁共振波谱仪:AV400,Bruker;万能电子试验机:CMT4000,美特斯工业系统有限公司;接触角测试仪:OCA20,DATAPHYSICS;热重分析仪(Q500)、差热扫描量热仪(Q2000)∶TA;凝胶渗透色谱仪:GPC1515,Waters。
1.2 聚氨酯丙烯酸酯的合成
采用 3 种不同相对分子质量的 HTPB 作为长链二元醇,与 2 种不同结构的二异氰酸酯(TDI、HDI)、丙烯酸羟乙酯(HEA)通过两步反应,合成了 6 种聚丁二烯基 PUA(分别命名为 Hx-TDI,Hx-HDI,x为 1、2、3)。
1.3 光固化柔性涂料的制备
1.3.1 光固化涂料的制备
在所合成的 PUA树脂中加入适量乙酸乙酯作溶剂,搅拌混合均匀后,加入树脂质量 2% 的光引发剂1173,搅拌均匀,静置备用。
1.3.2 光固化薄膜的制备
将不同基材(玻璃、马口铁、PP板、PC板、PET板)水平放置在桌面上,滴加适量配制好的涂料,用20 μm线宽的线棒涂布器匀速涂布,室温下静置待溶剂完全挥发后,覆盖一层离型膜,将涂布好的样品放入紫外灯固化箱内,在光强 40 mW/cm2 、波长 365 nm的紫外光照射下,固化 2 min,得到所需的光固化薄膜。
1.3.3 光固化样条的制备
将特定尺寸的硅胶模具置于玻璃片上,加入涂料,静置24 h,待溶剂挥发完全后,另取一玻璃片盖于其上,四周用夹子固定,将样品放入紫外灯固化箱内,在光强40 mW/cm2 、波长365 nm的紫外光照射下,固化2 min,得到所需的光固化样条。
1.4 测试及表征
1.4.1 红外光谱(FT-IR)
将样品均匀涂抹于KBr盐片上,使用红外光谱仪扫描,扫描范围 4 000~400 cm-1,分辨率 4 cm-1,扫描次数32次。
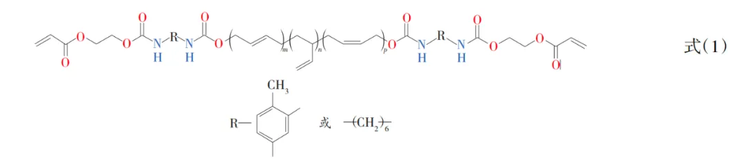
具体的合成方法:首先将 HTPB、TDI(或 HDI)按照 n(—OH)∶n(—NCO)=1∶2 加入装有机械搅拌器、温度计和冷凝管的三颈烧瓶中,再分别加入阻聚剂MEHQ、催化剂DBTDL和溶剂乙酸乙酯,在40 ℃下反应4 h,通过二正丁胺法测定—NCO反应了50%,得到中间体;然后按照 n(—OH)∶n(—NCO)=1∶1 加入HEA,补加催化剂和阻聚剂并升温至 70℃反应 4 h,通过红外光谱测定2 267 cm-1 处—NCO的红外吸收峰完全消失时,表明反应结束,得到最终产物,产物结构如式(1)所示。
1.4.2 光固化动力学测试
测试仪器为实时红外光谱仪,测试样品涂在2片KBr 盐片之间,用 365 nm 的 LED 点光源进行照射固化,调整光强为40mW/cm2,测试时间为300s,扫描范围 4 000~450cm-1,分辨率为 4 cm-1 。实时监测810 cm-1 处 C=C双键特征峰面积的变化,通过式(2)计算双键转化率(DC),式(3)计算双键转化速率(Rp)。
1.4.3 凝胶渗透色谱(GPC)测试
将待测样品溶解于四氢呋喃中,控制质量浓度在 5 mg/mL 左右,于室温下溶解 24 h 以上,将所得溶液用22 μm孔径的滤膜进行过滤,使用凝胶渗透色谱仪进行测试,测试流速为1 mL/min,温度为25 ℃。
1.4.4 力学性能测试
用哑铃型裁刀制备标准样条,中段测试部分尺寸20 mm×4 mm×1 mm,采用万能材料试验机,在室温下以12 mm/min的速度进行拉伸性能测试,得到样条的应力-应变曲线,并对曲线与 x 轴所围成的图形面积进行积分,计算得到材料韧性值。
1.4.5 热重分析
采用热重分析仪进行测试,样品质量为 5~8 mg,在N2氛围保护下,以20 ℃/min的速率进行升温,温度范围为25~600 ℃。
1.4.6 差示扫描量热分析
采用差示扫描量热仪对样品进行测试,样品质量为 10 mg,在 N2氛围保护下,以 10 ℃/min 的速率进行升温,温度范围为-80~100 ℃。
1.4.7 水接触角测试
用硅胶模具制备膜厚 0. 5 mm 的光固化薄膜,采用接触角测量仪在室温下测试水接触角。
1.4.8 其他性能测试
根据 GB/T 1731—2020 测试涂层柔韧性;根据GB/T 9286—2021测试涂层附着力;根据GB/T 6739—2022测试涂层铅笔硬度;根据GB/T 1730—2007测试涂层摆杆硬度;根据 GB/T 23989—2009 测试涂层耐化学试剂性。
2 结果与讨论
2.1 聚氨酯丙烯酸酯结构表征
图 1 为 H1-TDI 和 H1-HDI 的红外光谱和核磁共振氢谱。从图 1(a)可以看出,3 400 cm-1 左右羟基(—OH)的红外吸收峰消失,在3 348cm-1 左右出现了新生成的酰胺键(—NH)吸收峰,809cm-1 处是 C=C双键的吸收峰,2 267 cm-1处—NCO吸收峰完全消失,代表异氰酸酯基团反应完全,证明反应已经完成。由图 1(b)可以看出,H1-TDI:a(6. 47,2. 00H)、b(6. 20,1. 79H)、c(5. 95,2. 12H)、d(4. 45,7. 94H)、e(2. 22,6. 12H);H-HDI:a(6. 44,2. 00H)、b(6. 18,1. 76H)、c(5. 89,2. 19H)、d(4. 36,7. 70H)、e,f(3. 19,7. 59H)。H1-TDI 和 H1-HDI 特征氢原子的各组峰的化学位移以及峰位积分面积的比例均与理论值相符,由此可以证明已成功制备出不同二异氰酸酯结构的聚丁二烯基聚氨酯丙烯酸酯[10]。
2.2 热重分析
对所合成的聚丁二烯基聚氨酯丙烯酸酯与商用树脂的热重过程进行实时监测,结果如图 2 所示,根据样品热失质量5%的温度(T5%)、最大失质量速率的温度(Tmax)以及 600 ℃时样品的残炭率,判断样品的热稳定性。由图 2 可知,Hx-TDI 在 100 ℃时出现微量分解(约1%),这是因为体系内存在极少量乙酸乙酯溶剂,溶剂挥发导致质量略微下降;300 ℃时出现少量质量损失,这是由于体系内存在的少量单体挥发导致的质量下降(约 5%);450 ℃时,体系开始大量分解,产物分解速率明显增大;550 ℃时,体系热分解过程趋于结束。同时可以看到,相对分子质量的增加对树脂的热稳定性并没有太大影响,H1-TDI、H2-TDI、H3-TDI 的 T5% 为 301 ℃、306 ℃、289 ℃,与芳香族商用树脂 1862(301 ℃)相差不大,600 ℃时样品的残炭率均在 1% 左右,达到最大分解速率时的温度均在 500 ℃左右,明显大于商用树脂 1862(418 ℃),说明聚丁二烯独特的长碳链结构赋予了聚氨酯丙烯酸酯良好的热稳定性,能够满足柔性电子领域的应用需求。
由图 2 还可知,Hx-HDI 的热重曲线与 Hx-TDI 表现出相似的变化趋势,说明异氰酸酯结构的不同对于聚氨酯丙烯酸酯的热稳定性影响不大。
2.3 差示扫描量热分析
由图 3中 Hx-TDI的 DSC曲线可以看出,HTPB相对分子质量的变化并未对曲线产生明显的影响,在-80~100 ℃范围内,曲线均未出现相转变峰与玻璃化转变平台,而 1862 在-39. 2 ℃出现玻璃化转变,这说明 Hx-TDI 体系在此温度范围内呈现均一相态,具有良好的耐低温性,相较于1862,更能够在极端环境下满足柔性电子的应用需求。
由图 3 中 Hx-HDI 的 DSC 曲线可知,曲线存在多组相转变峰,但焓变并不明显,这是因为 HDI 中 2 个异氰酸酯键活性相同,在进行第一步合成反应时,即使控制温度在30 ℃以下,同时提高反应时间,仍会导致少量不同聚合度的聚氨酯的生成,因此体系呈现微分相的状态,后面的拉伸试验与多分散系数的结果也可证明这一现象的产生。
2.4 光聚合动力学分析
对聚丁二烯基PUA以及商用1862的光固化过程进行实时监测,其双键转化率以及转化速率如图4所示。
由图 4 可知,Hx-TDI 与 1862 的双键转化率曲线均表现出先快速升高,再缓慢升高至趋于平稳的特点,这表明丙烯酸酯双键在前20 s内就已经完成了绝大部分转化,双键转化速率在3 s左右均达到最大值,随着光照时间的延长,双键密度逐渐降低,双键转化率虽仍然略有提高,但转化速率大大减小,最后趋于平缓。而随着HTPB相对分子质量的增大,H1-TDI相较于H3-TDI在20s时的双键转化率从78. 6%提高到了 88. 5%,且双键最大转化速率(Rpmax)也从 15. 4 s-1提高到了 21. 1 s-1 ,这是因为聚丁二烯主链是柔性长碳链结构,更高的相对分子质量意味着更长的链长,分子链运动变得更容易,增大了双键间的碰撞几率,导致双键转化变得容易。但相对分子质量的增加对双键最终转化率并没有太大影响,Hx-TDI在 300 s时的转化率均在 88%以上,这意味着聚丁二烯 PUA 树脂具有优异的光固化效率。而商 1862在 20 s时的双键转化率仅为 54. 8%,且双键最大转化速率(Rpmax)仅为8. 4 s-1 ,光固化效率较Hx-TDI明显降低。
由图4还可知,Hx-HDI的双键转化率曲线与HxTDI 表现出相似的增长趋势,而与 Hx-TDI 相比,HxHDI表现出更高的双键转化速率,这是因为HDI的脂肪链结构相较于TDI的芳香环结构,具有更小的空间位阻,分子链柔性更大,运动更加容易,双键间的碰撞几率增大,因此双键转化更加容易,交联反应更容易发生。
2.5 力学性能
对聚丁二烯基 PUA 以及商用 1862 的光固化样条进行拉伸试验得到的应力-应变曲线如 图 5所示。
由图 5 可知,随着 HTPB 相对分子质量的增大,H1-TDI 与 H3-TDI 相比,断裂伸长率从 61. 79% 大幅度提高到了 104. 79%,拉伸强度从 2. 68 MPa 轻微提高到了 2. 70 MPa,这是因为聚丁二烯主链是柔性长碳链结构,更高的相对分子质量意味着更长的链长,能够赋予分子链更高的柔性,此外,分子链链长的增大也意味着链间缠结更为紧密。而商用1862虽然断裂伸长率(115. 83%)略高于 H1-TDI,但拉伸强度(1. 47 MPa)则明显低于H1-TDI。由最高相对分子质量 HTPB 所合成的 H1-TDI 具有最高的韧性(1. 78MJ/m3 ),与 H3-TDI(0. 98MJ/m3 )相比提高了81. 6%,与1862(1. 00 MJ/m3 )相比提高了78%。
由图5还可知,Hx-HDI与Hx-TDI相比,断裂伸长率、拉伸强度和韧性均有所降低,这是因为 HDI虽然具有柔性较低的脂肪链结构,但其2个异氰酸酯活性相同,导致在第一步合成过程中发生不同程度的扩链现象,生成不同相对分子质量的聚氨酯,体系呈现微分相的状态。为证明 Hx-HDI体系分相存在,利用凝胶渗透色谱仪对材料相对分子质量及其多分散系数进行了表征,结果如表2所示。
从表2可以看出,Hx-HDI相较于Hx-TDI,表现出更高的多分散系数,表明聚合物相对分子质量分布更宽,有目标产物之外的副产物生成,考虑到 HDI中2个异氰酸酯基团的化学活性类似,可以认为是不同程度的扩链所生成的聚氨酯结构。上述结果表明,由高相对分子质量的端羟基聚丁二烯H1与TDI、HEA合成的H1-TDI,在所研究的体系中具有最高的韧性(1. 78 MJ/m3 )、最高的断裂伸长率(104. 79%)以及适中的拉伸强度(2. 70 MPa),表现出优异的力学性能。
2.6 疏水性
分别对Hx-TDI、Hx-HDI和商用1862所制成的光固化薄膜进行水接触角对比测试,结果如图6所示。
由图6可知,聚丁二烯基PUA均具有较高的水接触角(>80 °),表现出良好的疏水性,而商用1862水接触角仅为 71. 2 °,并且随着 HTPB 相对分子质量的增大,光固化薄膜水接触角略微升高,这是因为聚丁二烯主链是非极性纯碳链结构,极性较小,相对分子质量的增大意味着链长增大,因此其提供的疏水效果越明显。此外,H1-TDI具有最大的水接触角 96. 6 °,这是因为TDI的芳香环结构相较于HDI的脂肪链结构具有更小的极性,因此疏水性提高,水接触角更大。
2.7 涂层综合性能
涂层综合性能研究结果如表3所示。
由表 3可知,Hx-TDI、Hx-HDI均表现出优异的柔韧性(1 mm)以及较低的铅笔硬度(6B)、摆杆硬度(<0. 43)。Hx-TDI 相较于 Hx-HDI,摆杆硬度均有所提高,这是因为TDI的芳香环结构相较于HDI的脂肪链结构有着更高的刚性,更大的空间位阻导致分子链运动变得困难,体系硬度增大。而商用 1862 柔韧性也达到了 1 mm,铅笔硬度为 6B,但摆杆硬度较低,仅为0. 172。
由表 3 中附着力结果可知,Hx-TDI 和 1862 均对塑料基材 PET、PVC、PC表现出良好的附着力(1级),
这是因为聚氨酯丙烯酸酯中存在着大量氨酯键,氨酯键可以在分子链间形成大量氢键,从而有效提高对于基材的附着力,此外,聚丁二烯主链结构与极性均与塑料相近,因此可以进一步提高树脂对于PET、PVC 以及 PC基材的附着力,而聚丁二烯主链结构与极性相比于玻璃及马口铁差别大,因此对其附着力较差(4~5 级),发生大面积剥离;而Hx-HDI体系中,由于其异氰酸酯基团相同反应活性而生成的聚氨酯结构,体系呈现微分相状态,这导致 Hx-HDI 样品对塑料、玻璃及马口铁基材均表现出较差的附着力,固化薄膜在划格后,容易发生大面积脱落。
由表3中耐化学试剂擦拭性测试结果可以看出,Hx-TDI、Hx-HDI 固化薄膜在乙醇与丁酮 500 次反复擦拭下,均未出现破损、脱落的现象, 1862在 100次擦拭下即发生破损,表明聚丁二烯基 PUA 具有更为良好的耐乙醇、耐丁酮性能,这是因为 HTPB 的主链结构为非极性长碳链,与乙醇及丁酮结构差异较大。
此外,相对分子质量增大导致的交联密度减弱以及二异氰酸酯结构的变化,均未对基材附着力及耐化学试剂性结果产生明显影响。
3 结论
本研究选用 3 种不同相对分子质量的端羟基聚丁二烯(HTPB)与 2 种不同结构的二异氰酸酯(TDI、HDI)及丙烯酸羟乙酯(HEA),合成了6种聚丁二烯基聚氨酯丙烯酸酯,探究了主链链长以及二异氰酸酯结构对PUA性能的影响。研究发现,更高的HTPB相对分子质量和TDI结构可以提高PUA的综合性能,由相对分子质量最高的 HTPB 与 TDI、HEA 合成的 PUA表现出最高的断裂伸长率(104.79%)和韧性(1.78 MJ/m3 )以及适中的拉伸强度(2.70 MPa),20 s时双键转化率达 88. 5%,300 s 时最终转化率达 90%以上,热失质量5%的温度达300 ℃,最大分解速率时的温度达 500℃,在-80~100 ℃范围内未出现相转变及玻璃化转变,水接触角达 96.6°,柔韧性达 1mm,铅笔硬度及摆杆硬度较低(6B、0. 408),对于塑料基材有着良好的附着力(1级),耐乙醇、丁酮擦拭性能超过 500次。与商用聚氨酯丙烯酸酯 1862 相比,其力学性能、光固化效率、耐高低温性能、疏水性以及表观性能都更为优秀。表明此类聚丁二烯基聚氨酯丙烯酸酯在柔性电子器件领域具有更为广阔的应用前景。
来源:《涂料工业》2024年11月第54卷第11期
(0)



