刘雪燕1,韩 璐2,夏良洪1,王程钎3,阚成友2
(1.中国兵器工业标准化研究所,北京 100089;2.清华大学化学工程系,北京 100084; 3.中国航发北京航空材料研究院,北京 100095)
摘要:水性聚氨酯丙烯酸酯(WPUA)因其优异的机械性能、高附着力、耐化学性以及环保性等优点而备受关注,已广泛应用于涂料、胶粘剂、纺织和皮革助剂等领域。为拓宽WPUA应用领域,通过不同途径进一步提升传统WPUA的性能,是近年来绿色水性树脂领域的研究热点。本文首先介绍了目前WPUA的制备方法,然后从环氧树脂、有机硅、有机氟和纳米粒子改性WPUA以及超支化和光固化WPUA等热点方向综述了WPUA的研究进展,并对WPUA的发展方向进行了展望。
关键词:水性聚氨酯丙烯酸酯;制备方法;改性;超支化;光固化
前言
随着人们环保意识的不断增强,传统溶剂型涂料和胶粘剂中大量有机溶剂带来的问题因备受关注而日益凸显[1-2]。这些有机溶剂会导致空气、水和土壤污染,引发一系列如肺病和脑病等影响人类健康问题[3]。为此,世界主要经济体陆续出台了各种法律法规,严格限制涂料和胶粘剂中挥发性有机化合物的含量。
水性涂料和胶粘剂由于以水为介质,具有低毒和环境友好等优点,已成为涂料和胶粘剂领域的重要发展方向,也是近年来的研究热点[4-5]。水性树脂是水性涂料和水性胶粘剂的成膜物,它决定了材料的基本性能。水性聚氨酯丙烯酸酯(WPUA)树脂是一种以水为分散介质的聚氨酯(PU)-聚丙烯酸酯(PA)复合体系。以 WPUA 为成膜树脂制备的水性聚合物产品,不仅解决了溶剂型产品带来的毒性问题,而且兼具 PU耐磨性、韧性以及 PA的高力学强度、高耐水性等优点,显著提高了产品的综合性能。经过多年发展,作为“第三代水性聚氨酯”[6]的 WPUA 已在许多领域得到了广泛应用[7-9]。例如在胶粘剂领域,WPUA 因其优异的粘接性能而应用于包装、木工、纺织品和鞋类等行业;在涂料领域,WPUA因其耐磨性、耐候性而应用于建筑、汽车、家具和工业设备的表面涂装;在织物整理领域,WPUA可用于改善面料的防水、防污和耐磨等性能。近年来,WPUA在纸张和纸板涂层、皮革涂饰剂、医用材料和电子材料等领域也展现出了良好的应用前景[10-11]。
随着 WPUA 应用领域的逐渐拓宽,传统 WPUA 的性能如耐水性、耐热性、耐化学性以及力学性能等已不能满足一些特定应用场景的需求[12]。为此,科研工作者从结构与性能的关系出发,采取多种改性方式来进一步提升 WPUA 的性能,改性 WPUA 也成为近年来的重点研究方向[13-15]。例如,为改善 WPUA 的耐水性,RAO 等[16]首先以异佛尔酮二异氰 酸酯(IPDI)、聚四亚甲基醚二醇和 2,2-双羟甲基丙酸(DMPA)为原料制得 PU预聚体,然后以 3,6-二氧杂-1,8-辛二硫醇和氨丙基封端的聚二甲基硅氧烷(PDMS)为扩链剂,以丙烯酸羟乙酯(HEA)为封链剂,制得有机硅改性 WPUA 分散体。成膜过程中,疏水性PDMS链段通过重排富集在表面,从而提升了涂层的耐水性。ZHOU等[17]分别将纤维素纳米晶体、碳纳米管和氧化铝纳米粒子等均匀地分散到 WPUA 分散体中,发现用碳纳米管改性能够显著提高复合材料的机械性能和介电性能。
本文首先对 WPUA 的制备方法进行详细介绍,然后从环氧树脂、有机硅、有机氟和纳米粒子改性 WPUA 以及超支化和光固化 WPUA 等方面综述了 WPUA 的研究进展,并对 WPUA 的未来发展方向进行了展望。
01、WPUA制备方法
WPUA 乳液主要分为 WPUA 共混乳液、WPUA 核壳结构乳液、WPUA 共聚乳液以及 WPUA 互穿网络乳液,相应的制备方法分别为共混法、核壳乳液聚合法、乳液共聚法和互穿网络乳液聚合法。
1.1 共混法
共混法是通过将 PU 和 PA 两种乳液进行混合来制备 WPUA 乳液的方法。根据 PU 和 PA 之间是否形成化学键,共混法可分为物理共混法和化学共混法。物理共混法是通过机械搅拌将两种乳液混合均匀,形成 WPUA 分散体系的方法。化学共混法则是事先在 PU 乳液或 PA 乳液中加入交联 剂,然后再通过机械搅拌使两者混合得到 WPUA 乳液。化学共混法 WPUA 的优点在于在使用过程中,随着水分的挥发,PA 和 PU 分子之间会发生交联反应,从而防止了两组分之间的相分离,提高了产品的性能。
曾小君等[18]将阴离子PU乳液与PA乳液进行物理共混,研究了所得 WPUA体系的耐水性、吸水率、耐溶剂性、玻璃化转变温度以及机械性能等性能。研究结果表明,PU 链硬段与 PA 有一定的相容性, WPUA 共混乳液的成膜性能比 PU 乳液有一定程度的提高。杨建军等[19]首先利用双丙酮丙烯酰胺(DAAM)将活性酮羰基引入PA乳液,然后将所得 PA乳液与端酰肼基PU乳液混合,制得WPUA乳液。该乳液室温成膜时会发生酮肼交联反应,从而提高了 PA 与 PU 的相容性,有效改善了 WPUA 胶膜的力学性能和耐水性能。
1.2 核壳乳液聚合法
前人研究表明,通过对 WPUA 乳胶粒进行核壳结构设计可以提高乳胶膜的耐水性和力学性能,并具有成本效益[20]。核壳乳液聚合法是将丙烯酸酯单体溶胀到预先制备好的含有亲水基团的 PU 乳液 中,再加入引发剂引发单体聚合来制备 WPUA 核壳结构乳液的方法。在这一过程中,含有亲水基团的 PU分子链充当大分子乳化剂,丙烯酸酯因其憎水特性进入 PU 乳胶粒内部进行聚合,最终形成以 PU 为壳、PA为核的核壳结构乳液。根据核与壳聚合物之间是否形成化学键,WPUA 核壳结构乳液可分为核壳间无接枝和核壳间接枝两种类型。
CHEN等[21]以预先制备的乙烯基封端阳离子PU 乳液为种子,通过核壳乳液聚合法使甲基丙烯酸十二氟庚酯、DAAM 和甲基丙烯酸甲酯(MMA)共聚,制得 WPUA 核壳结构乳液。研究发现随着核壳比的增加,乳胶膜的拉伸强度先增大后减小,耐热性逐渐提高;乳胶膜具有抗冲击性好、柔韧性好和附着力强等优点。KWON等[22]首先制备了以甲基丙烯酸羟乙酯(HEMA)封端的PU预聚物,然后通过核壳乳液聚合与 MMA 和丙烯酸丁酯(BA)共聚,制得接枝型 WPUA 乳液,并通过透射电镜(TEM)证明乳胶粒呈明暗相交的核壳结构。
1.3 乳液共聚法
乳液共聚法是通过化学键将PU和PA分子链连接起来,制得 PU 和 PA 在分子水平上相容的 WPUA 乳液的方法。因采用该方法所得 WPUA 乳液具有良好的稳定性和优异的性能,乳液共聚法已成为制备 WPUA 乳液的主要方法。该方法又分为双预聚体法、接枝法和不饱和单体封端法等。
(1)双预聚体法:首先分别制备羟基封端的 PA 预聚体(PA-OH)和异氰酸酯基封端的 PU 预聚体(PU-NCO),利用—NCO 与—OH 的反应、扩链反应和相反转乳化技术制得嵌段共聚 WPUA 乳液。申永泰[23]首先以 MMA、HEA、苯乙烯(St)、丙烯酸和丙烯酸?2-乙基己酯等为原料,通过自由基共聚制备出 PA-OH;以甲苯二异氰酸酯(TDI)、聚乙二醇、聚酯多醇和三甲基戊二醇等为原料,通过加聚反应制备出PU-NCO;然后以两种预聚体为原料,通过相反转乳化技术和扩链反应使 PU 和 PA 共聚得到 WPUA 乳液。研究发现,该乳胶膜具有较好的耐水性、光泽性、耐候性和物理机械性能。
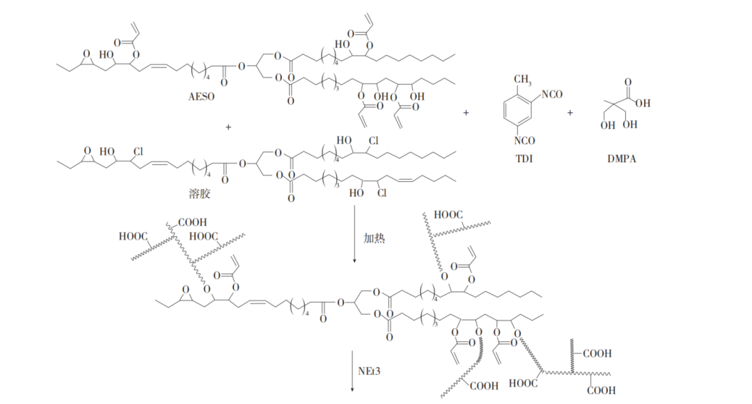
(2)接枝法:通过含不饱和多元醇或不饱和异氰酸酯的 PU 预聚体与丙烯酸酯单体进行乳液共聚,将聚丙烯酸酯分子链接枝到 PU 链上,生成 WPUA 接枝共聚物乳液。LU 等[24]以 TDI、DMPA、氯化大豆油基多元醇和不饱和多元醇丙烯酸酯化环氧大豆油等为原料,合成了含乙烯基的大豆油基 WPU 分散体;然后再通过与 MMA 和 BA 的乳液接枝共聚制备了一系列大豆油基 WPUA 乳液,合成路线如图 1 所示。研究发现,所得乳胶膜具有较好的热稳定性和机械性能,作为基于可再生资源的新型环保胶乳在涂料领域有良好的应用前景。
(3)不饱和单体封端法:将含有不饱和双键的封端剂与 PU 预聚体反应,生成不饱和双键封端的 PU预聚体,之后再与丙烯酸酯类单体经乳液聚合制得 WPUA 共聚乳液。封端剂是 PU 和 PA 共聚的桥梁,常用的封端剂有丙烯酸羟烷基酯、不饱和酸等。采用丙烯酸羟烷基酯作为封端剂时,是利用丙烯酸羟烷基酯的—OH 与预聚体 PU-NCO 上的—NCO 反应封端,形成不饱和PU预聚体。WANG等[25]首先 以 IPDI、聚丙二醇和 1,4-丁二醇(BDO)等为主要原料,分别制备了 HEMA 封端、甲醇封端以及不封端 的PU预聚体,然后与MMA、BA共混,并通过相反转乳化工艺以及微乳液聚合制得3种WPUA乳液。研究结果表明,当 PU 预聚体不封端或者以甲醇封端时,所得 WPUA 乳胶粒由 PU 和 PA 共混而成;当 PU 预聚体以 HEMA 封端时,所得 WPUA 乳胶粒则是由 PU 和 PA 形成的共聚物。刘敬松等[26]先以 IPDI、聚酯二元醇、三羟甲基丙烷(TMP)、DMPA、BDO 和 HEA 等为主要原料制得 HEA 封端的 PU 乳液,然后加入丙烯酸酯进行自由基聚合制得 WPUA 共聚乳液,并由此制备出了具有优异柔韧性、耐水性和耐热性的胶粘剂。以马来酸酐(MA)、甲基丙烯酸酐等为封端剂时,通常先用多元胺对预聚体 PU-NCO 进行扩链,得到预聚体 PU-NH2,然后加入酸酐,使其与预聚体 PU-NH2中的胺基进行酰胺化反应,生成不饱和聚酯型PU预聚体,进而获得WPUA乳液。蒋欣等[27]首先以聚醚(N-210)、TDI、蓖麻油和环氧氯丙烷等为主要原料,以乙二醇、二乙烯三胺为扩链剂,以 MA 为封端剂,制备出不饱和 PU 预聚体,然后再与 BA 通过自由基乳液共聚制得稳定的 WPUA 乳液,乳液的成膜性和乳胶膜的耐溶剂性良好。在上述方法中,使用最多的是不饱和单体封端法。这是由于该方法中使用的不饱和单体方便易得,不饱和键反应活性高,容易获得性能稳定的 WPUA 乳液。此外,采用乳液共聚法所得 WPUA 树脂大多为嵌段或接枝共聚物,在一定程度上呈现出分子尺度的相分离。
1.4 互穿网络乳液聚合法
互穿网络(IPN)乳液聚合法是指在乳液聚合过程中,将两种或两种以上聚合物网络大分子通过分子链互穿混合,形成聚合物分子水平上强迫互容和协同的特殊复合结构乳胶粒的方法[28]。在此过程中,聚合物中至少有一种组分是交联结构, 不同组分的分子链互相缠结促使相结构微细化,从而限制了分子链的宏观相分离。相比于乳液共聚法,该方法的独特之处是形成了强迫互容和协同的特殊微观结构,从而赋予最终产品特殊和优异的性能。 ALIZADEH 等[29]首先利用六亚甲基二异氰酸酯、聚(四亚甲基醚)二醇和 2- 乙基- 2-(羟甲基)-1,3-丙二醇等合成了PU预聚体,然后加入双酚 A双(2-羟基?3-甲基丙烯酰氧基丙基)醚、St等同时进行自由基聚合和加聚反应,制得 IPN 型 WPUA 乳液,合成路线如图2所示。研究发现,PU和PA两种聚合物网络之间形成了氨基甲酸酯键,从而增强了两种聚合物网络之间的相互渗透性,使得所得聚合物具有高断裂韧性和优异的透明度,在航空航天、挡风玻璃以及安全护目镜等领域表现出应用潜力。王贵友等[30]通过扫描电镜、差示扫描量热计和广角X-光衍射仪研究了IPN型WPUA树脂结构形态和力学性能之间的关系,发现网络间化学键对其影响极大。当网络间没有化学键时,整个体系是热力学不相容体系,存在明显的相分离形态;当网络间有化学键时,网络存在相容性和互穿性,力学性能明显提高。
02、WPUA改性研究进展
随着科学技术的发展,传统 WPUA 已无法满足当今多样化的性能要求。近年来,科研工作者从主体结构入手,通过不同方法对 WPUA 进行改性,以期进一步提升 WPUA 的耐候、耐化学品、机械性能和热稳定性等性能,满足不断扩大的应用需求。研究工作主要集中在用环氧树脂、有机硅、有机氟和纳米粒子等对 WPUA 进行改性,以及开发超支化 WPUA、紫外光固化WPUA等方面。
2.1 环氧树脂改性WPUA
环氧树脂是一类分子中含有两个及以上环氧基团、并能与固化剂形成交联三维网状结构的化合物。它具有优异的黏附性、机械强度和耐化学性等性能[31]。经环氧树脂改性后的 WPUA 在力学性能、耐化学性、粘接强度以及热稳定性等方面均有所提升。
LIU 等[32]首先利用双酚 A 环氧树脂与丙烯酸反应合成出环氧丙烯酸单酯,然后再加入 TDI、聚乙二醇、HEA、二乙醇胺(DEA)等 ,通过 —NCO 与 —OH 的加成以及环氧基与 DEA 的亲核加成等反应,制得阳离子型环氧树脂改性 WPUA,合成路线 如图 3所示。
SHI 等[33]首先以 IPDI、聚醚二醇和 DMPA 等为原料制备了 PU 预聚体,并以 HEA 封端使得—NCO 含量为零;然后加入环氧树脂 E-51,并通过相反转乳化工艺得到带环氧基的 PU 乳液;再通过其与 MMA、BA 的乳液共聚制得内含环氧树脂的以 PA 为核、PU 为壳的 WPUA 乳液,最后将三乙烯四胺(TETA)作为潜在的水溶性环氧固化剂分散到水相中。环氧树脂因其疏水性被包覆在乳胶粒内部,无法与水相中的 TETA 发生反应;而在成膜过程中,随着水分的挥发,乳胶粒逐渐变形和破裂,裸露出的环氧基便可以与 TETA 接触并发生反应,形成交联结构,从而制得环氧树脂改性 WPUA 乳胶膜。作者还利用红外光谱仪对成膜过程中的固化反应进行监测,验证了环氧树脂与固化剂之间确实发生了后交联反应。改性后的乳液表现出良好的稳定性,乳胶膜的耐水性和耐甲苯性明显提高,力学性能如抗拉强度和模量得到了改善,只是断裂伸长率有所降低。
2.2 有机硅改性WPUA
聚硅氧烷拥有无机结构的主链和有机结构的侧基,具有高键能、低玻璃化转变温度和低表面能等特性,常用其对不同聚合物乳液进行改性[34-35]。采用不同结构的有机硅对 WPUA 进行改性不仅可以提高材料的耐高低温性、耐候性、耐油性、耐水性和化学稳定性,还可以改善材料的粘接性能,是提升WPUA综合性能常用的改性方法[36]。
谢子文等[37]以端羟丁基 PDMS、IPDI 和 HEMA 等为原料制得 HEMA 的 PU 预聚体,然后通过细乳液聚合工艺将BA、St和PU预聚体进行共聚,制得以 有机硅为软段的改性 WPUA,如图 4 所示。研究结果表明:PDMS 的引入有效降低了 PA 与 PU 的相分离程度,提高了 PA 与 PU 的相容性;与未改性的 WPUA 相比,有机硅改性后的乳胶膜在耐水性和柔 韧性方面均有所提升,并且随着 PDMS 质量分数的增加,乳胶膜的耐水性和柔韧性逐渐增强;当PDMS 质量分数为 20% 时,相比于未改性的乳胶膜,改性乳胶膜的水接触角增加了 56.5%,储能模量(-55 ℃ 时)降低了45.5%。
QIN等[38]先以IPDI、聚四氢呋喃(PTMG)、DMPA 和一端含有二羟亚甲基的PDMS低聚物为原料制得 PU预聚体,然后加入季戊四醇三丙烯酸酯(PETA),通过自由基聚合得到有机硅改性聚醚型 WPUA 乳液,可用于制备环保型皮革整理剂,合成路线如图5 所示。研究结果表明:以分子量为2 000的PTMG作 为软段合成的 WPUA 具有更高的断裂伸长率、更低的水吸收率和更大的水接触角;相比于未改性 WPUA,硅改性的WPUA表现出优良的柔韧性、低表面张力和高光泽度。
2.3 有机氟改性WPUA
由于氟原子半径小、电负性强以及C—F键键能 高,有机氟化合物具有优异的耐水、耐热和低表面能等特性[39]。采用有机氟对 WPUA 进行改性,不仅保留了 WPUA 乳液本身的性能,还可以改善聚合物的表面性能、耐候性、抗污染性和耐化学介质性[40]。通常采用在PU制备过程中引入含氟软段或在PA制备过程中引入含氟丙烯酸单体的方法来制备有机氟改性WPUA。
YANG等[41]首先将IPDI、DMPA、聚己内酯二醇、 TMP、HEMA 和硬脂醇(SA)等通过溶液聚合制得硬脂醇封端的PU,并以其作为下一步的反应型大分子。
03、结语
近年来,科技工作者针对 WPUA 的合成、性能和应用开展了大量研究和开发工作。同时为了满足不同领域对高性能 WPUA 的需求,人们也进行了许多探索,在环氧树脂、有机硅、有机氟和纳米粒子改性 WPUA 以及超支化和光固化 WPUA 等方面取得了很好的研究结果。
依据材料结构与性能关系的基本原理,从分子结构设计出发,开发综合性能优异的新型功能性WPUA树脂仍有很大的发展空间;特种功能性单体、特种添加剂、生物基 WPUA 树脂和有机 - 无机 WPUA纳米复合材料仍然是WPUA领域研究与开发的重点。
另外,根据不同的应用需求,通过不同技术的有机结合来发展 WPUA 新技术,是提升 WPUA 综合性能的有效途径。此外,在满足性能要求的前提下,通过优化结构设计、原材料选择以及合成工艺,探寻简单、低成本生产 WPUA 之路也至关重要。
来源:《中国胶粘剂》 2025年1月第34卷第1期
(0)



